Cálculo del área de una elipse

 Cálculo del área de una elipse


El área de la elipse es

A = πab

Donde a y b son los ejes mayor y menor respectivamente.


Demostración: 

A partir de la ecuación de una elipse, que es

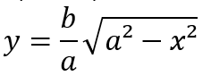
Debemos establecer una función, despejando la variable y, en función de x;


Y se obtiene:


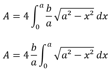
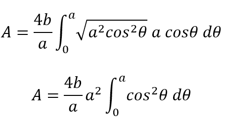
Luego integrando la parte ubicada en el primer cuadrante y multiplicando por 4, para obtener el área total, se tiene


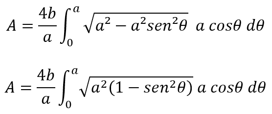
Utilizando sustitución trigonométrica, tenemos que


Por lo que:

Luego, resolvemos

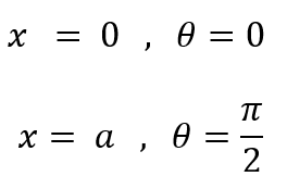
haciendo un cambio de límite de integración

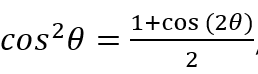
y utilizando la identidad trigonométrica de

Se tiene:


Que, al resolver obtenemos




Comentarios